Предмет: Математика, автор: liza18999

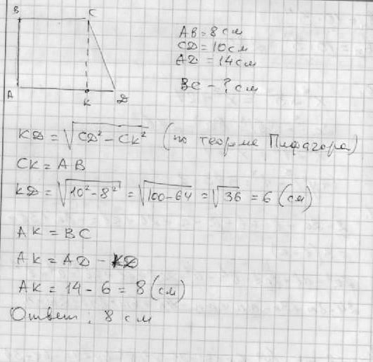
в прямоугольной трапеции боковые стороны равны 8 см и 10 см, а большее основание равно 14 см. Найдите меньшее основание трапеции

Ответы

Автор ответа: математик2011
5
Ну, как-то так!!!!!!!!!!!!!!!
Приложения:
Похожие вопросы
Предмет: Русский язык, автор: olololol02
4. Укажите СПП с придаточным определительным.
А. Мы пошли туда, куда вела тропинка, и вскоре вышли на широкую дорогу.
Б. Было невыносимо видеть, как плакал этот большой, сильный, волевой человек..
В. Друзья не знали, о чём спрашивать друг друга.
Г. Они подошли к месту, где когда-то гулял вихрь бури.
5. Какое придаточное присоединяется к главному при помощи союзного слова?
А. Я отыскал те письма, которые брат писал матушке в течение всей жизни.
Б. Иван Петрович расспрашивал детей, не устали ли они в дороге.
В. Нина позвонила домой, чтобы её не ждали.
Г. Тигр не боится огня и смело подходит к биваку, если на нём тихо.
6. Найдите СПП с пунктуационными ошибками.
А. Река, по которой мы плыли, была весьма широкой.
Б. Люблю когда грибы, обнявшись как братья, собирают на свои шапки росу.
В. Трёх сосен которые так любил Пушкин в Михайловском нет.
Г. В ясный день вы увидите в лесу, как осенняя паутина блестит на солнце.
Предмет: Математика, автор: zaxmerova1ozeatq