Предмет: Математика,
автор: vladkonev02
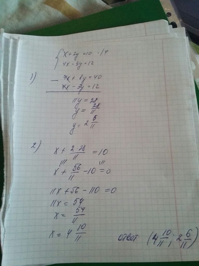
Решите систему уравнений способом сложения:
{х + 2у = 10
{4х-3у = 12
Ответы
Автор ответа:
4
ответ смотри на фото
Приложения:
Похожие вопросы
Предмет: Английский язык,
автор: Аноним
Предмет: Английский язык,
автор: beka9888
Предмет: Английский язык,
автор: Diana18544
Предмет: Математика,
автор: augustabella1
Предмет: Математика,
автор: Филипп666