Предмет: Математика,
автор: tolmol
Помогите пожалуйста, срочно
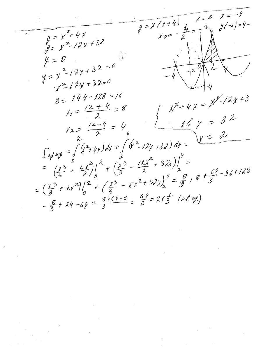
вычислите площадь фигуры ограниченной линиями
y=x^2+4x y=x^2-12x+32 y=0
Ответы
Автор ответа:
1
решение определенного интеграла - в приложении. Ответ:21 1/3 кв. ед.
Приложения:
Похожие вопросы
Предмет: Информатика,
автор: dimaklimov03222
Предмет: Физика,
автор: prostotak13
Предмет: Обществознание,
автор: arinatim2006
Предмет: Химия,
автор: nstthefr2003
Предмет: Химия,
автор: nstthefr2003