Предмет: Математика,
автор: katjusha4
людиииии добрыеее
помогите прошууууу!!!
помогите решить задание 1479
Приложения:
Ответы
Автор ответа:
0
= 4,92-0,2=4,72
=76-17,5=58,5
=0,5+0,126=0,626
=2,2497+0,0503-0,6=1,7
=5,6+315=320,6
=76-17,5=58,5
=0,5+0,126=0,626
=2,2497+0,0503-0,6=1,7
=5,6+315=320,6
Автор ответа:
0
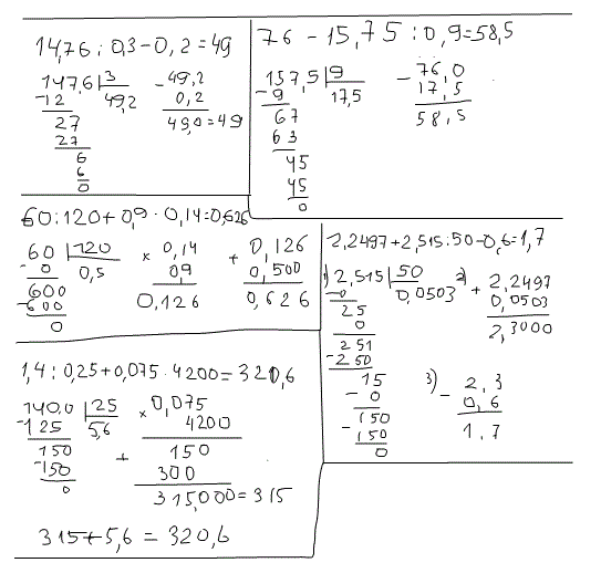
смотри прикрепленный рисунок
Приложения:
Похожие вопросы
Предмет: Українська література,
автор: Аноним
Предмет: Физика,
автор: вфизикенешарю
Предмет: Литература,
автор: Ilukha
Предмет: Алгебра,
автор: tonitopa