Предмет: Алгебра,
автор: санчес2013
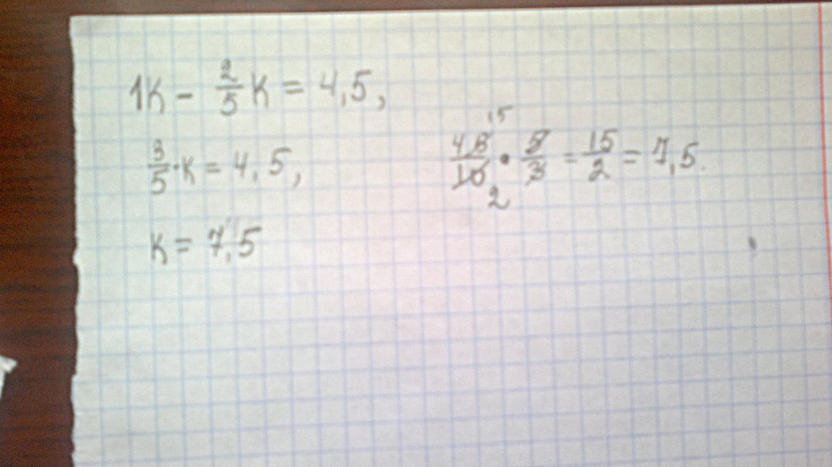
решите уравнение:k-2/5k=4,5
Ответы
Автор ответа:
0
Вот посмотри_)))это обычное линейное уравнение
Приложения:
Похожие вопросы
Предмет: Алгебра,
автор: Zhanbakievaasya
Предмет: Русский язык,
автор: amidhodjaev21
Предмет: Физика,
автор: yugai2003
Предмет: Геометрия,
автор: Чеlоveчек