Предмет: Алгебра,
автор: cognit
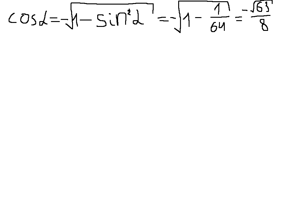
Вычислите cosa если sina=-1/8
kostet1998:
А случайно не сказано в каких пределах лежит аргумент?
П <a <3П/2
Ответы
Автор ответа:
3
........................................
Приложения:
Похожие вопросы
Предмет: Окружающий мир,
автор: дима2907
Предмет: Русский язык,
автор: Кот2471
Предмет: Русский язык,
автор: BlackOrWhrite666
Предмет: Алгебра,
автор: Gldjw
Предмет: Английский язык,
автор: muss1230outlookcom