Предмет: Математика,
автор: daNIL210901
Сократите дробь кпеееееееееееееееееееееее
Приложения:
Ответы
Автор ответа:
1
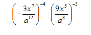
(а¹²/3х⁷)⁴:(а⁸/9х⁵)³=(а⁴⁸*729х¹⁵)/(81х²¹*а²⁴)=9а²⁴/х⁶
Похожие вопросы
Предмет: Русский язык,
автор: Аноним
Предмет: Русский язык,
автор: ibrahimak74
Предмет: Русский язык,
автор: kalinina1011
Предмет: Алгебра,
автор: tania2483