Предмет: Алгебра,
автор: dianatsybareva
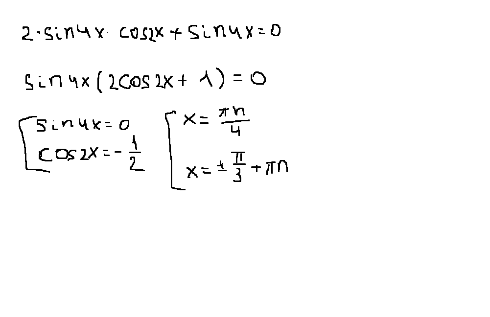
sin2x+sin4x+sin6x=0.
Ответы
Автор ответа:
1
_____________________________
Приложения:
Похожие вопросы
Предмет: Русский язык,
автор: cygiku
Предмет: Английский язык,
автор: Аноним
Предмет: Английский язык,
автор: Аноним
Предмет: Математика,
автор: Poziriv900
Предмет: Английский язык,
автор: sunrage41