Предмет: Математика,
автор: TheMakerX
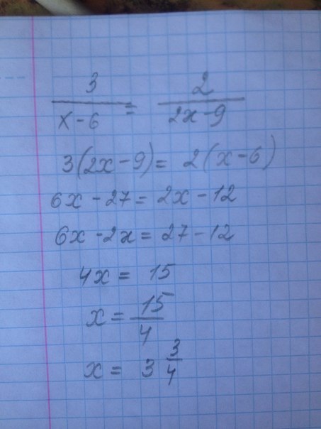
Помогите решить 3/(x-6)=2/(2x-9)
Ответы
Автор ответа:
12
как-то так ответ получается не целым числом
Приложения:
Похожие вопросы
Предмет: Русский язык,
автор: Анд2007
Предмет: Русский язык,
автор: людмила245
Предмет: Окружающий мир,
автор: anyakhrebtova
Предмет: Русский язык,
автор: niggainparis1
Предмет: Математика,
автор: mariantosha05