Предмет: Алгебра,
автор: 87029089450
Решите по действиям !!!! СРОЧНО ПЖ!!!
Приложения:
Ответы
Автор ответа:
1
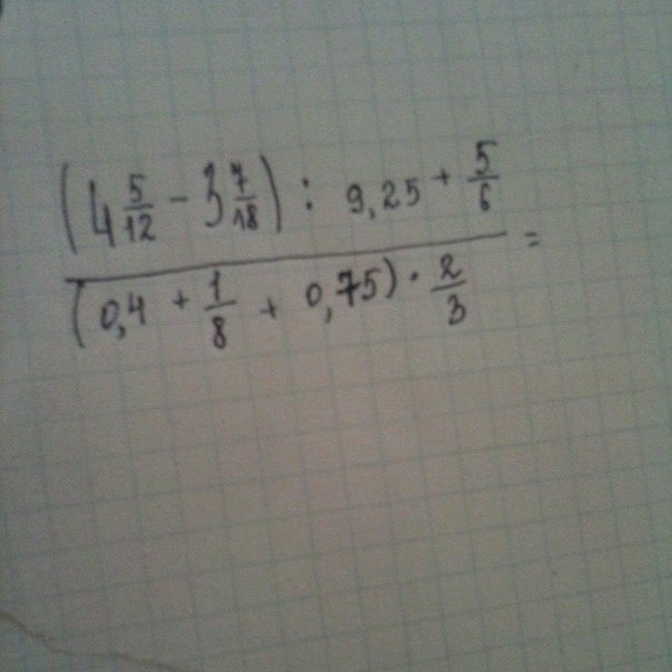
1)(4*12+5)/12-(3*18+7)/18=(159-122) /36=37/36
2)9,25=37/4 37/36 : 37/4 =1/9
3)1/9+5/6=17 /18
4)2/5+1/8+3/4= 51/40
5)51/40 * 2/3=17/20
6)17/18 : 17/20 =10/9
otvet 1selih 1/9
2)9,25=37/4 37/36 : 37/4 =1/9
3)1/9+5/6=17 /18
4)2/5+1/8+3/4= 51/40
5)51/40 * 2/3=17/20
6)17/18 : 17/20 =10/9
otvet 1selih 1/9
87029089450:
selih-ЭТО ЦЕЛАЯ ИЛИ ЧТО?
Похожие вопросы
Предмет: Другие предметы,
автор: tyomking
Предмет: Другие предметы,
автор: Катаріна12
Предмет: Русский язык,
автор: АринаБелочка1803
Предмет: Математика,
автор: vjustdoit
Предмет: Математика,
автор: mama52004