Предмет: Математика,
автор: Netreno1
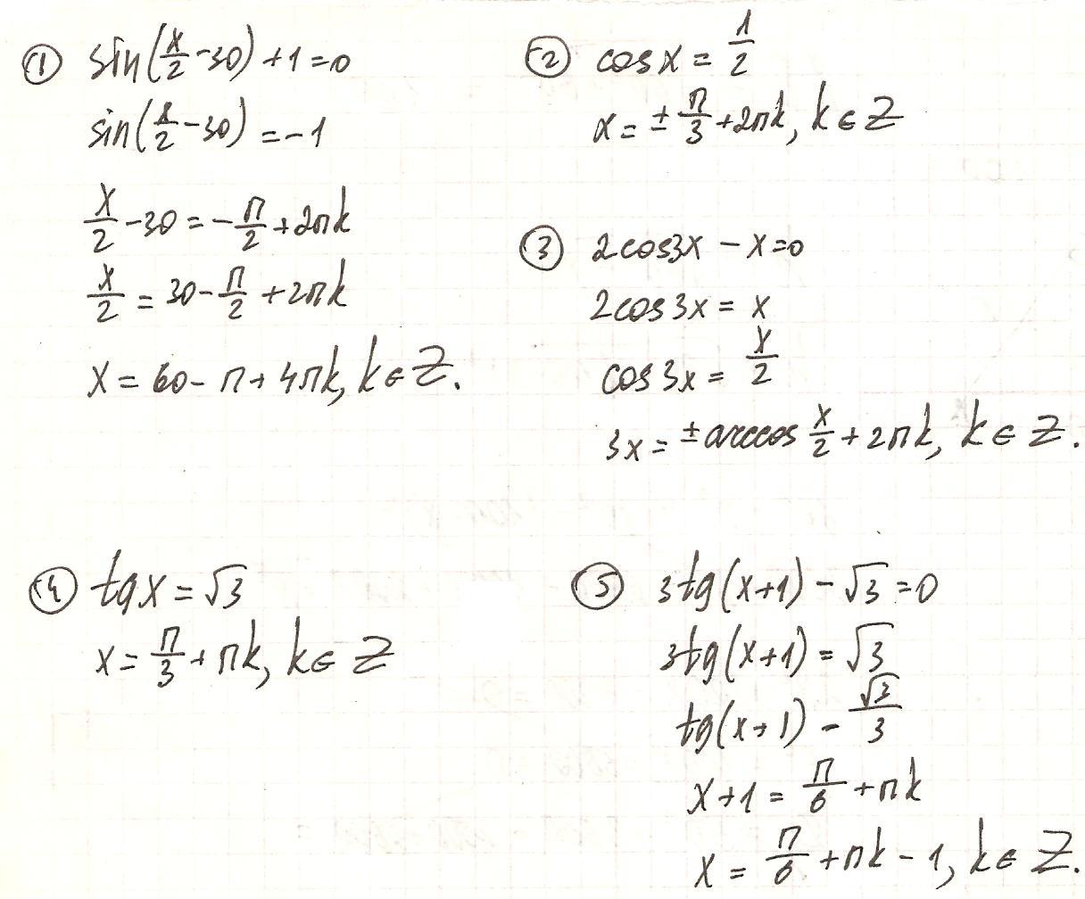
Помогите решить 1)sin(x/2-30)+1=0
2)cos X=1/2
3)2cos 3X - X=0
4)tg X=корень из 3
5)3tg(x+1) - корень из 3=0
решите пожайлуста хотябы то что знаете
Ответы
Автор ответа:
0
надеюсь будет понятно...
Приложения:
Похожие вопросы
Предмет: Математика,
автор: PrisholZaOtvetami
Предмет: Литература,
автор: zhanelaskhat
Предмет: Қазақ тiлi,
автор: Аноним
Предмет: Химия,
автор: женечка4