Предмет: Математика,
автор: vcvhdjs
Решите с действиями:
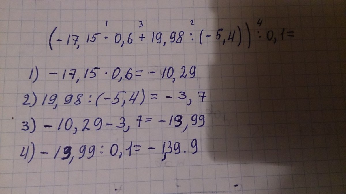
(-17,15*0,6+19,98:(-5,4)):0,1=
Ответы
Автор ответа:
2
Решение на картинке ,удачи :)
Приложения:
Похожие вопросы
Предмет: Английский язык,
автор: alinashutkina12345
Предмет: Русский язык,
автор: zama8788
Предмет: Английский язык,
автор: прорппп
Предмет: Математика,
автор: themooon
Предмет: Математика,
автор: maks669178