Предмет: Математика,
автор: nicolay1337
Математика, 10-11кл, помогите решить,пожалуйста.
Нужно найти lim
Приложения:
vovar3573:
x к бесконечности стремится?
Честно говоря,не знаю,ничего об этом не сказано
Ответы
Автор ответа:
2
Очень странно! под "Lim" должно быть написано.
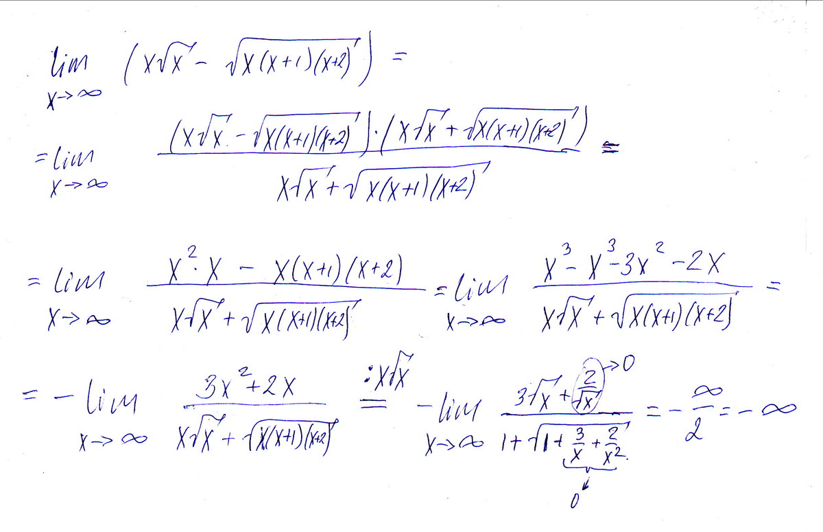
Судя по заданию всё же к бесконечности. Все просто, сначала умножаем на сопряженные, используем формулу разности квадратов .....
Судя по заданию всё же к бесконечности. Все просто, сначала умножаем на сопряженные, используем формулу разности квадратов .....
Приложения:
Спасибо)
Похожие вопросы
Предмет: Қазақ тiлi,
автор: Ender228007
Предмет: Русский язык,
автор: ajzhanabeldino1
Предмет: Русский язык,
автор: наталия147
Предмет: Алгебра,
автор: kovalevskauaanna
Предмет: Английский язык,
автор: maynatvahidovna