Предмет: Математика,
автор: nikssm
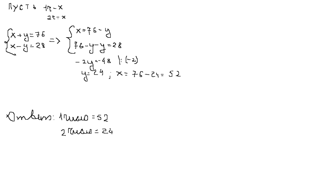
сумма двух чисел 76,а разница 28.найдите эти числа
Ответы
Автор ответа:
0
Вот смотри............
Приложения:
Автор ответа:
0
a+b=76
a-b=28
2a=104
a=52
52+b=76
b=76-52=24
Ответ: 24 и 52
Приложения:
Похожие вопросы
Предмет: ОБЖ,
автор: nurbolat100
Предмет: Математика,
автор: Аноним
Предмет: Английский язык,
автор: Аноним
Предмет: Геометрия,
автор: АлЕкСаАлЕкСа