Предмет: Алгебра,
автор: genia10
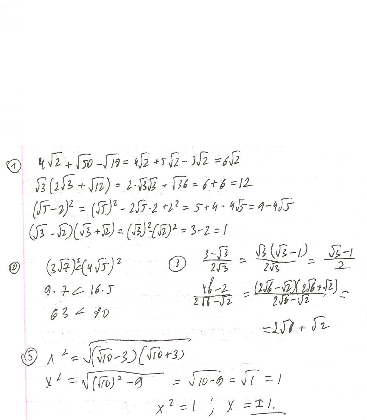
32 пкт за решения нужно решить А1(то есть то что слева) кроме 1 и 4 задания.
Приложения:
Ответы
Автор ответа:
0
надеюсь будет понятно....
Приложения:
Похожие вопросы
Предмет: Математика,
автор: Аноним
Предмет: Обществознание,
автор: УизлиТиСпирс
Предмет: Физика,
автор: 2005sanjka
Предмет: Математика,
автор: baby19922002