Предмет: Алгебра,
автор: настюшечка97
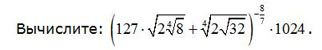
Решите пожалуйста пример во вложении
Приложения:
Ответы
Автор ответа:
0
УУУУУУУУУУх, хороший примерчик!!
Приложения:
Похожие вопросы
Предмет: Русский язык,
автор: Аноним
Предмет: Русский язык,
автор: positivefoxy20
Предмет: Русский язык,
автор: МаминСлонёнок
Предмет: География,
автор: lox27347