Предмет: Информатика, автор: zhora2110

Путем тождественных преобразований получить минимальную форму записи логической функции

Приложения:

Ответы

Автор ответа: Аноним
4
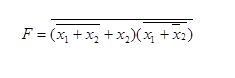
F=\overline{(\overline{x_1+x_2}+x_2)(\overline{x_1+\overline{x_2}})}=\overline{(\overline{x_1}\cdot\overline{x_2}+x_2)\overline{x_1}x_2}= \overline{(\overline{x_1}+x_2)\overline{x_1}x_2}= \\ \overline{\overline{x_1}x_2}=x_1+\overline{x_2}
Похожие вопросы