Предмет: Алгебра, автор: Feny

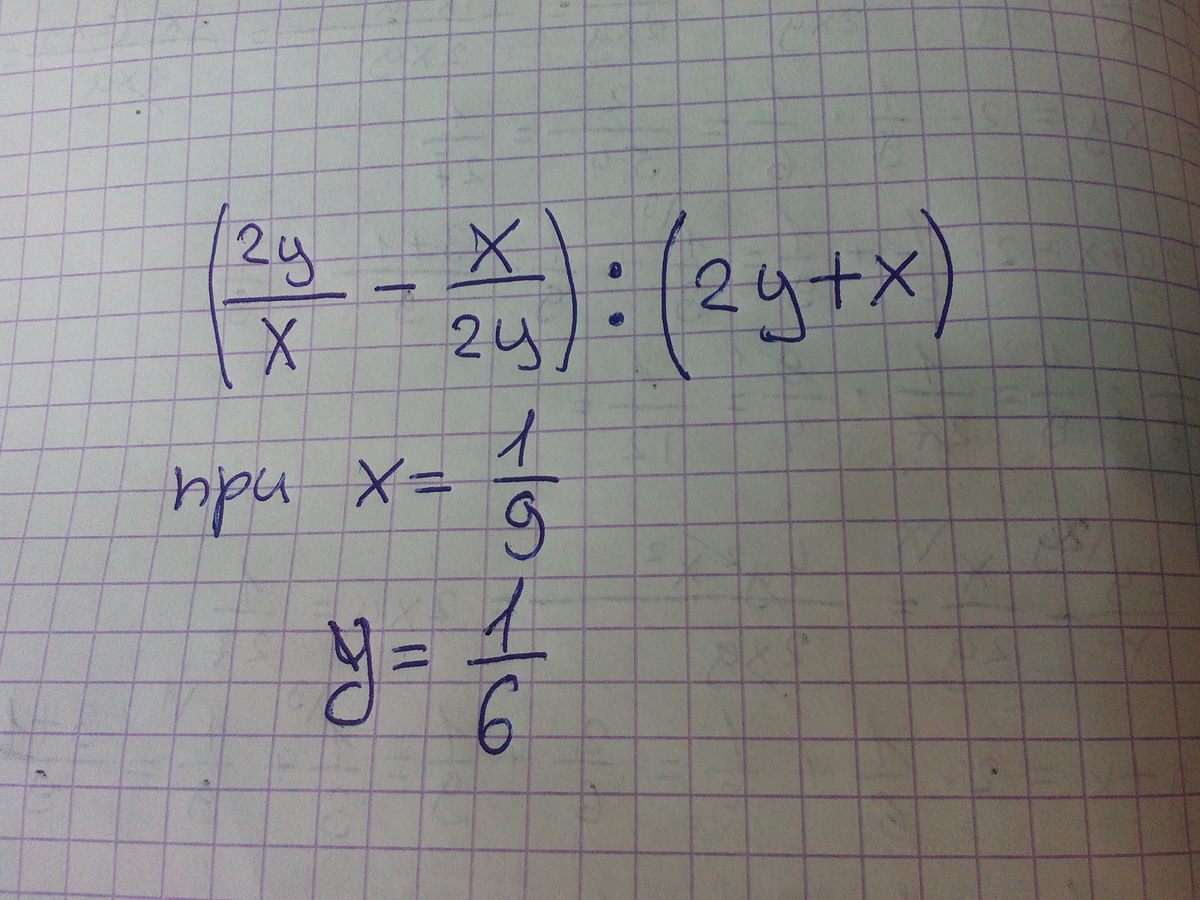
Найдите значение выражения:

Приложения:

Ответы

Автор ответа: missandreeva20
0
просто подставляй значения x и y - получишь ответ 1,5

Похожие вопросы
Предмет: Английский язык, автор: Аноним
Предмет: Русский язык, автор: Apprentice5
1. Выпишите из текста все эпитеты.

2. Выпишите из второго абзаца слово(-а), в котором(-ых) написание Н/НН определяется правилом: «В прилагательных, образованных от существительных с основой на Н с помощью суффикса -Н-, пишется НН»

3. Замените словосочетание «по осеннему городу», построенное на основе управления, синонимичным словосочетанием со связью примыкание. Напишите получившееся словосочетание.

4. Первое предложение третьего абзаца – сложное. Определите границы первого простого предложения, входящего в состав этого сложного, и выпишите из него все возможные словосочетания. Определите тип синтаксической связи для каждого выписанного словосочетания.


"Нынешняя осень была особенно радостной и светлой. Ликующей. С каждым днем все яснее виделась гибель лета, и осень торжествовала над умирающим противником в упоительной желтизне и оранже..
Пошел дождь и, не обращая внимания на этот драгоценный дар неба, по улицам сновали люди. Они вылезали из такси, громко хлопнув дверцей, изучали витрины магазинов или, проходя мимо, окидывали их взглядом, стояли на остановках трамваев, мимоходом договаривались о встречах. И у многих в руках были зонтики, милые и добрые механизмы. Самое невинное, что изобрели люди.

Затем опять показалось солнце, выставляя на тротуарах мокрые, озябшие листья и запах палых листьев, острый осенний запах будоражил душу и заполнял ее ни с чем несравнимой тоской. Но не ноющей, а сладкой и веселой тоской, словно люди, бредущие в сумерках, по осеннему городу, были не действительностью, а дорогим воспоминаньем."