Предмет: Алгебра,
автор: yaasson1
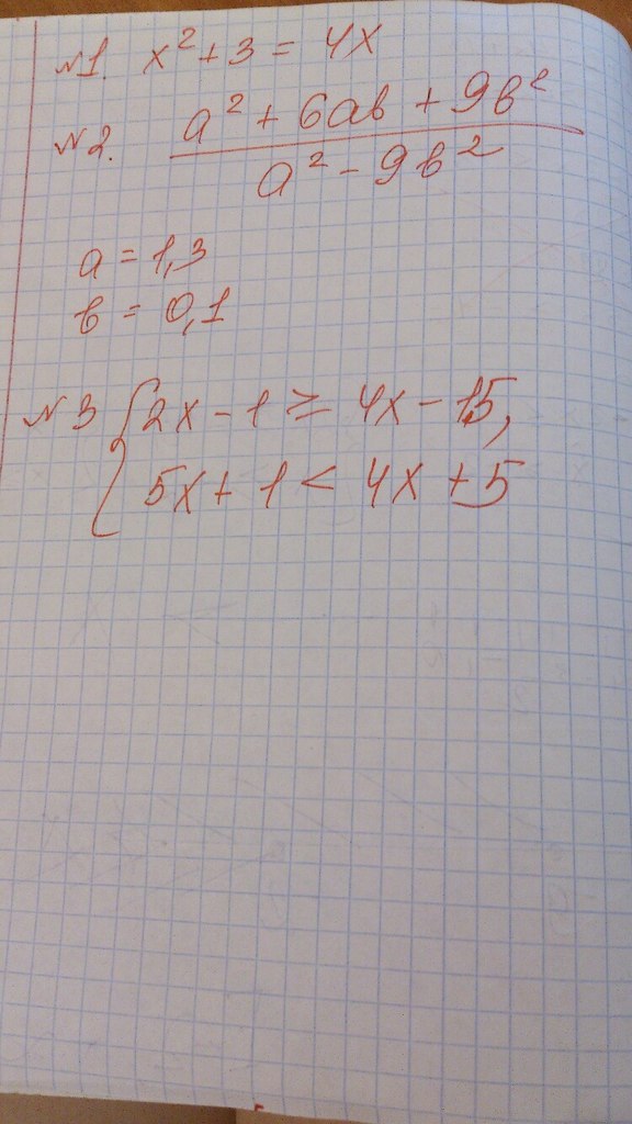
Помогите решить систему не равенств
Приложения:
Ответы
Автор ответа:
1
****************************************
Приложения:
Похожие вопросы
Предмет: Русский язык,
автор: mahvash
Предмет: Английский язык,
автор: akber2016619
Предмет: Українська мова,
автор: Andriy0101
Предмет: Беларуская мова,
автор: svetlana4ka39