Предмет: Математика,
автор: ElizavetaAnderson
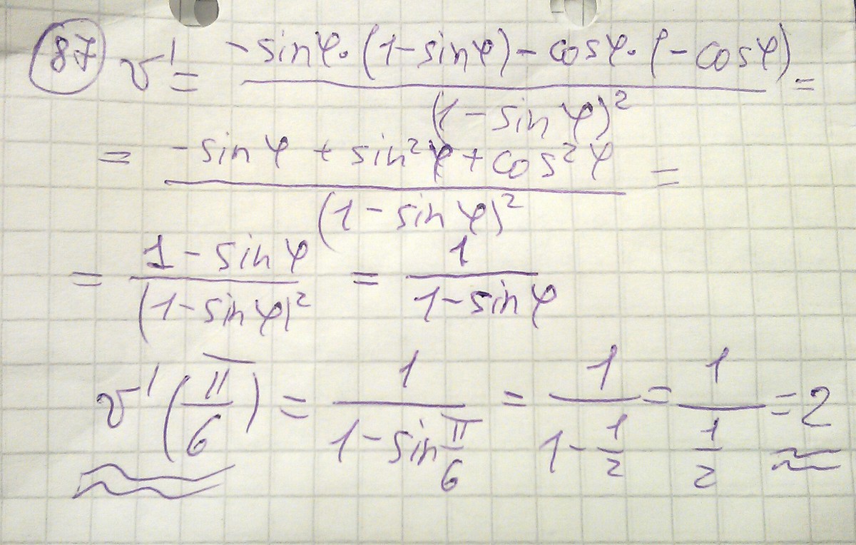
найдите производную функции, номер 81 и 87, пожалуйста))
Приложения:
Ответы
Автор ответа:
0
Решения в файлах, удачи )))
Приложения:
Похожие вопросы
Предмет: Английский язык,
автор: cot35
Предмет: Английский язык,
автор: maryanakalitov
Предмет: Русский язык,
автор: Пусик95
Предмет: Математика,
автор: rakhatyusupov22