Предмет: Алгебра,
автор: MariaPolkanova
Помогите решить!Прошу развернутый ответ!
Приложения:
Ответы
Автор ответа:
0
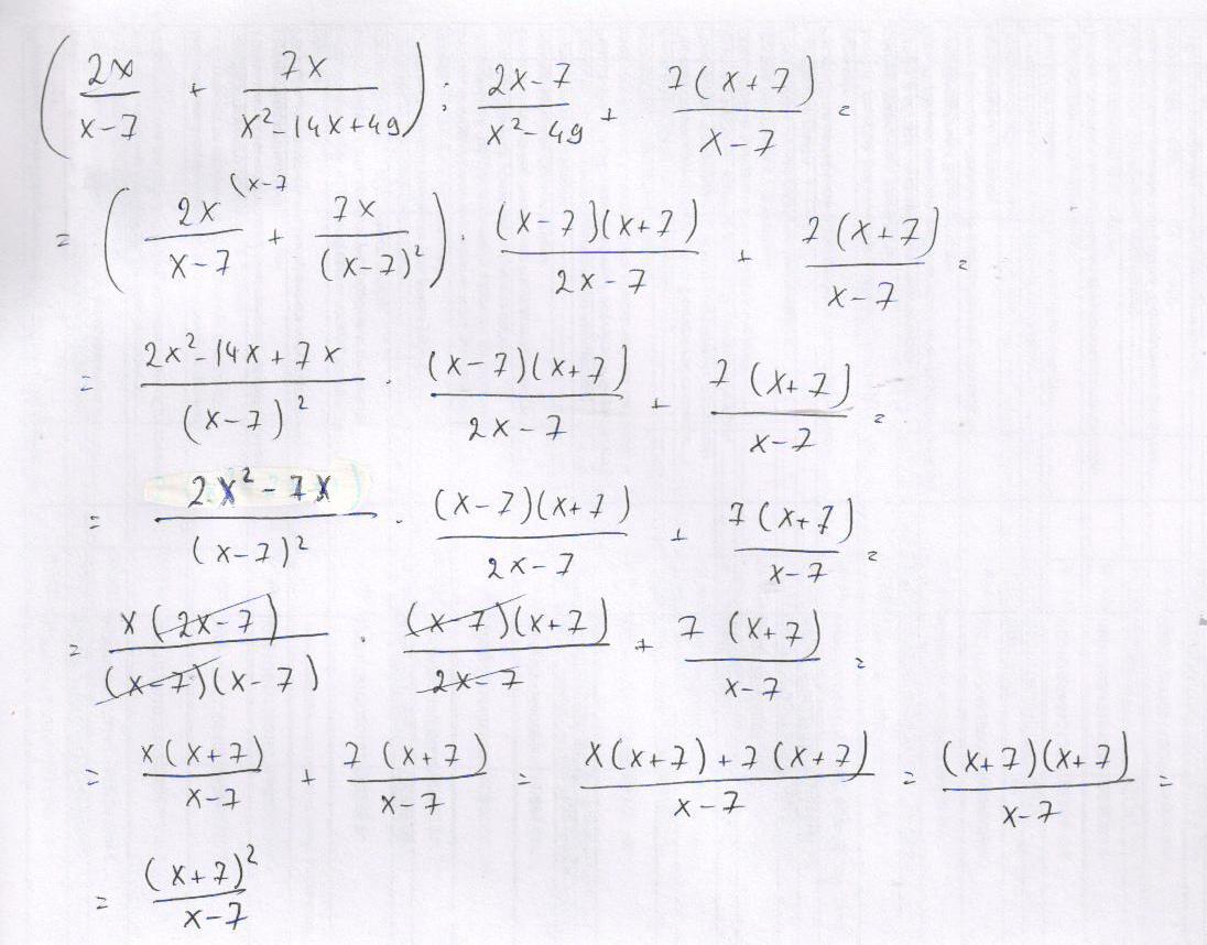
см. вложение
\\\\\\\\\\\\\\\\\\\\\\\\\\\
\\\\\\\\\\\\\\\\\\\\\\\\\\\
Приложения:
Автор ответа:
0
1)2x/(x-7) +7x/(x-7)²=(2x²-14x+7x)/(x-7)²=(2x²-7x)/(x-7)²
2)(2x²+7x)/(x-7)²:(2x-7)(x²-49)=x(2x-7)/(x-7)² * (x-7)(x+7)/(2x-7)=x(x+7)/(x-7)
3)x(x+7)/(x-7) + 7(x+7)/(x-7)=[x(x+7)+7(x+7)]/(x-7)=(x+7)(x+7)/(x-7)=(x+7)²/(x-7)
2)(2x²+7x)/(x-7)²:(2x-7)(x²-49)=x(2x-7)/(x-7)² * (x-7)(x+7)/(2x-7)=x(x+7)/(x-7)
3)x(x+7)/(x-7) + 7(x+7)/(x-7)=[x(x+7)+7(x+7)]/(x-7)=(x+7)(x+7)/(x-7)=(x+7)²/(x-7)
Похожие вопросы
Предмет: Русский язык,
автор: dodppf
Предмет: Английский язык,
автор: dev1lez
Предмет: Русский язык,
автор: gomevil10
Предмет: Химия,
автор: ddildana