Предмет: Алгебра,
автор: Everybody777
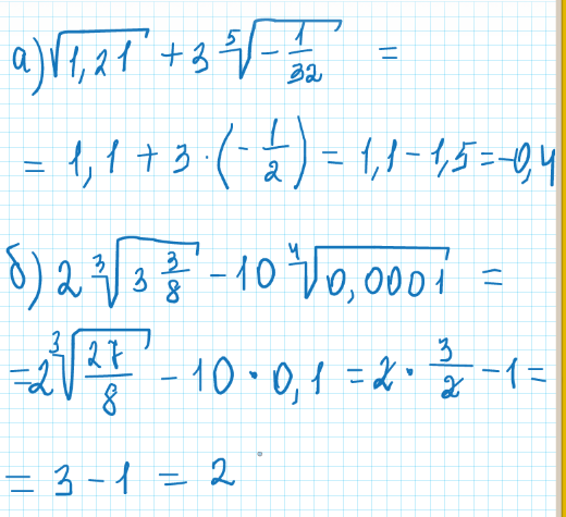
решить 1 номер а) и б), к ответу приложить решение, пожалуйста
Приложения:
Ответы
Автор ответа:
1
Решение примеров а и б
Приложения:
Похожие вопросы
Предмет: Русский язык,
автор: 234556787465
Предмет: Немецкий язык,
автор: joker2284
Предмет: Английский язык,
автор: 3444555
Предмет: Математика,
автор: georgiy22e
Предмет: История,
автор: kamoljon13