Предмет: Алгебра,
автор: Arseney2017
Решите быстро даю 35 б пожалуйста
Приложения:
Arseney2017:
ну
что решили
Ответы
Автор ответа:
0
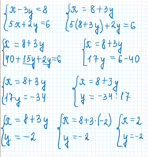
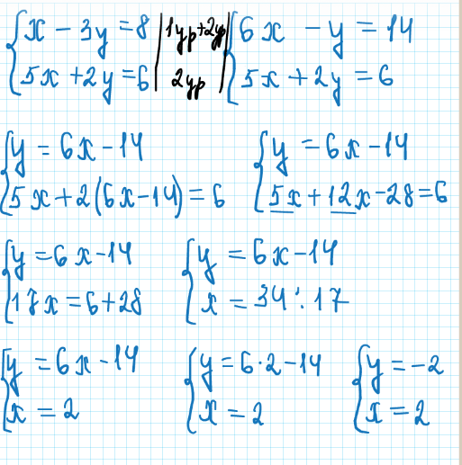
Первое и второе надо было?
Приложения:
Похожие вопросы
Предмет: Русский язык,
автор: 891165325579
Предмет: Қазақ тiлi,
автор: Pupsik22845
Предмет: Русский язык,
автор: dfghaeaiydUtd
Предмет: Английский язык,
автор: BERTYLLIKA