Предмет: Алгебра,
автор: yuliyaborisova
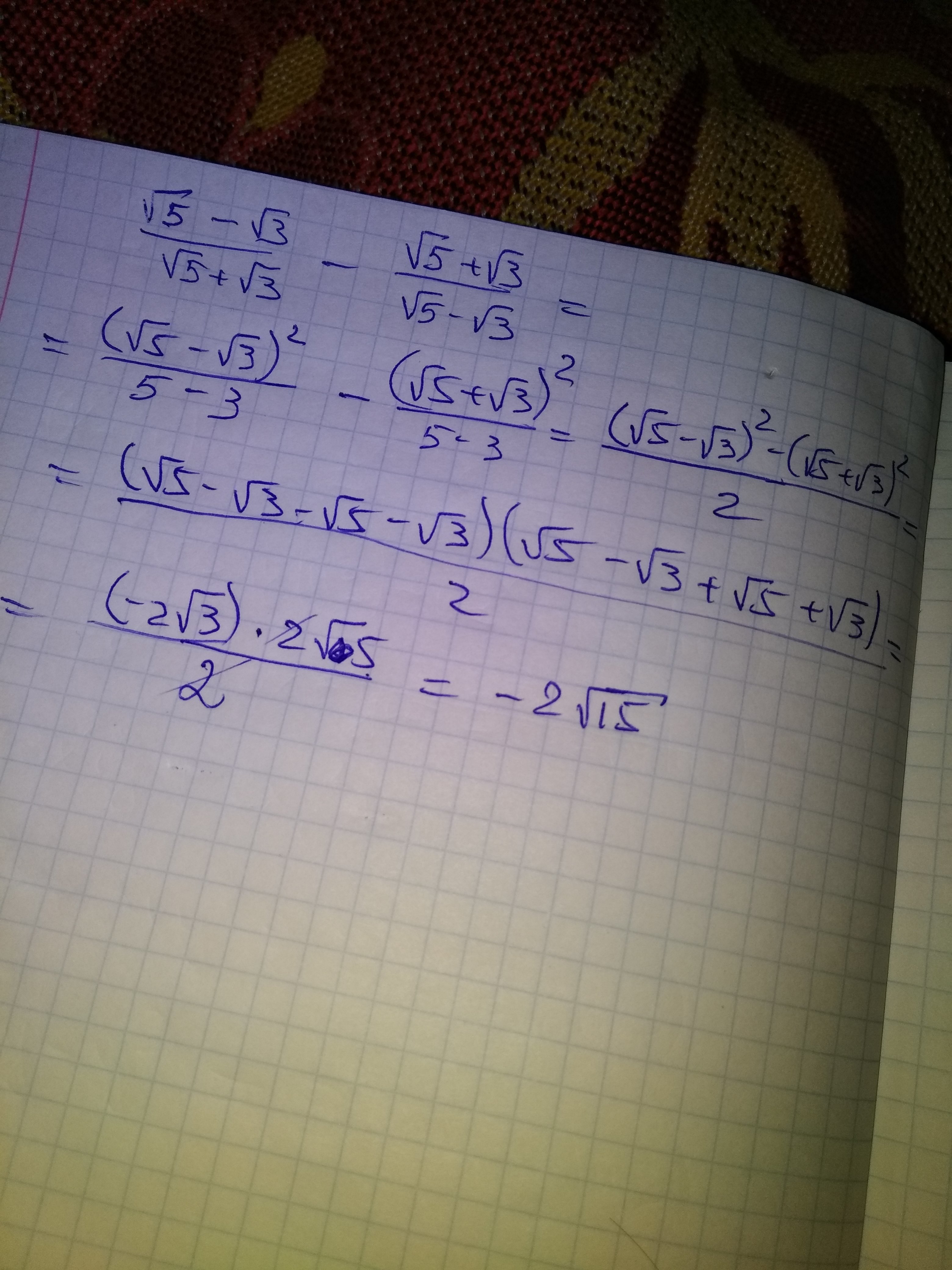
Помогите решить (√5-√3)/(√5+√3) - (√5+√3)/(√5-√3)
Ответы
Автор ответа:
14
Решение смотрите на фотографии
Приложения:
Похожие вопросы
Предмет: Русский язык,
автор: wladtryshin
Предмет: Русский язык,
автор: Аноним
Предмет: Английский язык,
автор: рамика2
Предмет: Английский язык,
автор: mariam05iphone
Предмет: Английский язык,
автор: gerovgav77