Предмет: Алгебра,
автор: Кимими
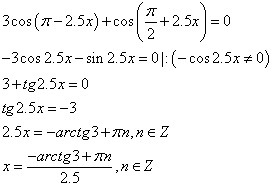
помогите решить уравнение. корень из 3 *COS(pi - 2,5X) + COS*( pi / 2 + 2,5x)=0
Ответы
Автор ответа:
0
Решение смотрите на фото
Приложения:
Похожие вопросы
Предмет: Алгебра,
автор: happy6745
Предмет: Русский язык,
автор: Аноним
Предмет: Химия,
автор: baginskaya2005
Предмет: Математика,
автор: igorbog50
Предмет: Геометрия,
автор: хзждлорпав