Предмет: Математика,
автор: anastasi6565
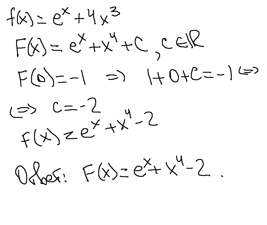
Найдите первообразную f(x)=e^x+4*x^3, если известно,что F(0)= -1
Ответы
Автор ответа:
1
Решение в прикрепленном.
Ответ: F(x) = e^x + x^4 - 2
Ответ: F(x) = e^x + x^4 - 2
Приложения:
anastasi6565:
Спасибо огромное)))
Похожие вопросы
Предмет: Русский язык,
автор: Keryn
Предмет: Английский язык,
автор: Jshshshsbshs82626
Предмет: Русский язык,
автор: Rahat0002
Предмет: Биология,
автор: almaz3242