Предмет: Алгебра, автор: Kulakca

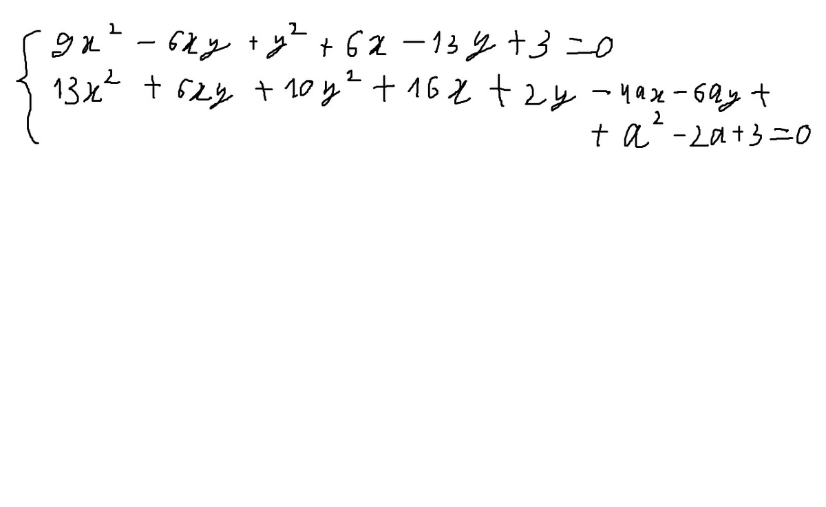
Найдите все значения параметра а, при каждом из которых следующая система уравнений имеет хотя бы одно решение.

Приложения:

Матов: перезагрузи страницу если не видно

Ответы

Автор ответа: Матов
2
Отнимаем одно  уравнение от другого  4x^2+12xy+9y^2+10x+15y-4ax-6ay+a^2-2a=0\\ (2x+3y)^2+5(2x+3y)-2a(2x+3y)+a^2-2a=0\\ (2x+3y)^2+(2x+3y)(5-2a)+a^2-2a=0 \\ 2x+3y=b\\ b^2+(5-2a)b+a^2-2a=0\\  Получили квадратное уравнение  b^2+(5-2a)b+a^2-2a=0\\ D \geq 0\\ D=(5-2a)^2-4*(a^2-2a) \geq 0 \\ a \in (-\infty; \frac{25}{2}]
Рассмотрим любую из прямых 2x+3y = \frac{2a-5+/-\sqrt{25-12a}}{2}\\  вторую можно не рассматривать ,  так как они  симметричны относительно друг - друга   \left \{ {{2x+3y = \frac{2a-5+\sqrt{25-12a}}{2}\\} \atop {9x^2-6xy+y^2+6x-13y+3=0}} \right. выразив со второе и с первой y   y=0.5*(6x-\sqrt{132x+157}+13) \\ y=\frac{2a-5+\sqrt{25-12a}}{3}-\frac{2x}{3} \\\\    первое , уравнение параболы , которая y\ \textgreater \ 0 ,  второе уравнение прямой , то есть необходимое условие для первой пары системы равенств , такое  нужно чтобы , прямая была касательная к параболе 
 y=0.5*(6x-\sqrt{132x+157}+13) \\ y=\frac{2a-5+\sqrt{25-12a}}{3}-\frac{2x}{3} \\ \\ y'= 3 -\frac{33}{ \sqrt{132x+157}} \\\\ 3-\frac{33}{ \sqrt{132x+157}} = -\frac{2}{3} \\ x=-\frac{19}{33}\\ y=\frac{3}{11}\\  
подставляя найденные значения в   y=\frac{2a-5+\sqrt{25-12a}}{2} * \frac{1}{3}-\frac{2x}{3}\\ x=-\frac{19}{33}\\ y=\frac{3}{11}  
Получаем  a=\frac{2-3\sqrt{2}}{3} ; a=\frac{3\sqrt{2}+2}{3}
, значит все решения идут между этими числами . 
2.Теперь со вторым , это фигура второго порядка  Эллипс , так как мы выяснили что  a \leq 12.5   , значит для данной фигуры, при любых значениях   выше сказанная прямая будет пересекать. 
 
     a \in [\frac{2-3\sqrt{2}}{3}; \frac{2+3\sqrt{2}}{3}]

Матов: подождите я его не закончил , само отправилось что то
Матов: никаких геометрических интерпретаций здесь особа не наблюдается , если вы про упомянутый на строку "Эллипс" то он тут ради того чтобы пояснить почему именно данный отрезок [2-3√2/3 3√2+2/3] принадлежит решению , существование другого решения скажем так " не геометрического" я не отрицаю .
Не за что !
Похожие вопросы
Предмет: Українська мова, автор: makstato1PETroSiAn
Предмет: Українська мова, автор: 5558953
8. Які два варіанти в Складними реченнями з різними видами зв'язку?
A: Переваги дистанційної освіти цілком очевидні: можна спати, поки
виспишся, а ще можна не спати, скільки завгодно.
Б: Я, наприклад, взагалі вважаю, що людина сама має вирішувати такі от
особисті питання.
В: Не варто їй, вільній від народження людині, вказувати: лягай спати, бо
вже ніч, чи вставай, бо вже день.
Г: Людина - це не якась там комаха, що цілком залежить від сонця, зірок,
комет чи якихось правил, вигаданих невідомо ким і коли!

9. Знайди два речення, що є складними з різними видами зв'язку.
А: Я от весь час думаю: а що буде, якщо взагалі перестати спати?
Б: Ну от навіщо це взагалі потрібно людині двадцять першого століття, що
має надшвидкісну відеокарту?
В: Я просто впевнений, що ніхто мені не зможе відповісти на це питання,
навіть якщо захоче.
Г: А ніхто й не захоче, бо відповідь очевидна: це просто звичка, пережиток і
забобони.
Предмет: Химия, автор: katarina6876