Предмет: Алгебра,
автор: kisave
Решается оценка в аттестат за 11 класс) 5 или 4) так что посторайтесь решить с правильным оформлением, ответы есть у меня а решения нет.
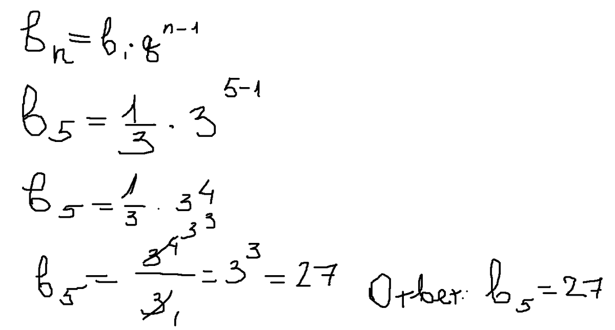
Найти пятый член геометрической прогрессии b n-ое если b1=1/3 q=3
Ответы
Автор ответа:
0
Вот смотри........................
Приложения:
Автор ответа:
0
b5=b1*q^4
b5=1/3*3^4=3^3=27
Приложения:
Похожие вопросы
Предмет: Алгебра,
автор: EdwardCallen
Предмет: Обществознание,
автор: foswas
Предмет: Математика,
автор: alinushka031
Предмет: География,
автор: Аноним