Предмет: Математика,
автор: 5274048v
решите
способом
подстановки
Приложения:
5274048v:
помммогите
Ответы
Автор ответа:
1
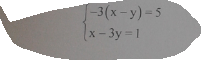
исходные не пишу
-3х+3у=5
х-3у=1
сложим
-2х=6
х=-3
у=(5+3х)/3=(5-9)3=-1 1/3
-3х+3у=5
х-3у=1
сложим
-2х=6
х=-3
у=(5+3х)/3=(5-9)3=-1 1/3
Похожие вопросы
Предмет: Английский язык,
автор: Alkotel
Предмет: Английский язык,
автор: dariadarina1
Предмет: Русский язык,
автор: Аноним
Предмет: Русский язык,
автор: ninik87
Предмет: Русский язык,
автор: wor614201