Предмет: Алгебра,
автор: Usless
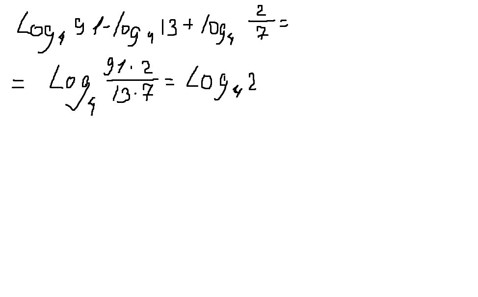
Решите пожалуйста Log4 91 - log4 13 + log4 2/7 (Желательно с объяснением)
Правее логорифма основание
Ответы
Автор ответа:
6
Здесь нужно использовать св-ва логарифма. Когда они складыаются с одинаковым основаниями, значит умножаются, если вычитаются, значит делятся.
:)
:)
Приложения:
Usless:
Спасибо,призабыл
Похожие вопросы
Предмет: Английский язык,
автор: диля1234567асем
Предмет: Немецкий язык,
автор: natali11li
Предмет: Английский язык,
автор: Сомотерина
Предмет: История,
автор: arnist20052
Предмет: Физика,
автор: 2456027