Предмет: Алгебра,
автор: annnnna97
ребят, помогите с математикой. все 3 номера
Приложения:
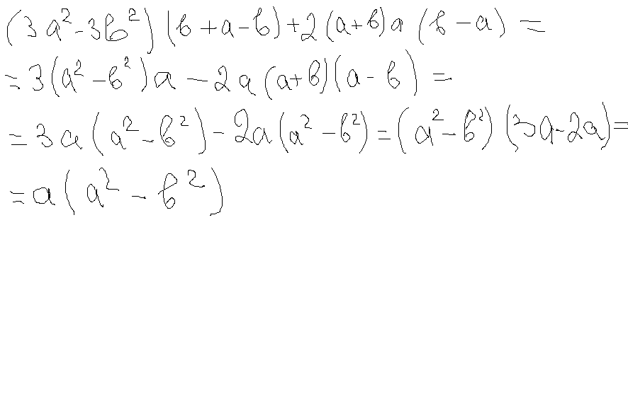
Ответы
Автор ответа:
1
Надеюсь, кто-то еще сделает другие номера!
Приложения:
annnnna97:
это ты какой упростил? первый или второй?
первый
Похожие вопросы
Предмет: Английский язык,
автор: sdfopdfodpfop
Предмет: Українська мова,
автор: Ly3577
Предмет: Русский язык,
автор: МилаЛ1
Предмет: Литература,
автор: LoveGirl19
Предмет: Информатика,
автор: HOOH72012