Предмет: Геометрия,
автор: Destroyer41
Помогите срочно решить No3, (фото задания прикреплено)
Приложения:
Ответы
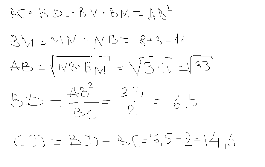
Автор ответа:
1
Надеюсь это поможет!
Приложения:
Похожие вопросы
Предмет: Русский язык,
автор: oxxxy161703
Предмет: Українська мова,
автор: Аноним
Предмет: Қазақ тiлi,
автор: 7287247
Предмет: Математика,
автор: 1019190
Предмет: Математика,
автор: Adi2010