Предмет: Математика,
автор: azamatriskulov
Просто надо решить пример!
Лёгкий!
Приложения:
anastasiiki:
Ну ну лёгкий
постите
простите
Ответы
Автор ответа:
3
какой-то странный ответ, но получается так
39/8 : (11/4+29/19) = 39/8 : 325/76 = 39/8 * 76/325 = 741/650 = 1 целая 91/650
может где-то косякнул
39/8 : (11/4+29/19) = 39/8 : 325/76 = 39/8 * 76/325 = 741/650 = 1 целая 91/650
может где-то косякнул
пример деиствительно странный
можно конечно до сократить 1 целая 91/650=1 ц 7/50
Автор ответа:
2
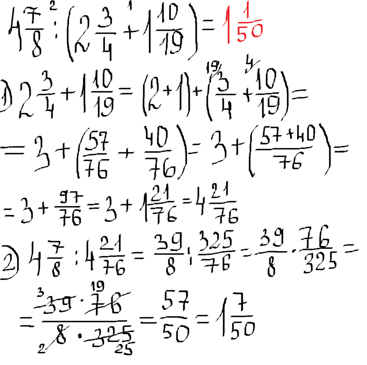
Решение в файлике. Если будут вопросы, то пиши.
Darknight (Sunny Storm)
Darknight (Sunny Storm)
Приложения:
ученый 19*3=57
исправьте пж
Спасибо. Сейчас. Описалась...
Ответ исправлен. В итоге получилась 1 7/50
принято)))
Надо же так описаться...
Спасибо, что отправили ответ на исправление!
ну за что????????? всякое бывает))))
Я стараюсь помогать своими ответами (поэтому и на этом сайте зарегистрировалась) ....а с такой опиской это не помощь...
все хорошо и не переживаи)
Похожие вопросы
Предмет: Русский язык,
автор: ekaterina287
Предмет: Английский язык,
автор: druwban
Предмет: Русский язык,
автор: danil078
Предмет: Другие предметы,
автор: Звёздочка2335
Предмет: Русский язык,
автор: vargo84