Предмет: Алгебра,
автор: katrin1994
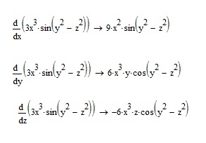
найдите частные производные функций u=3x^3*sin(y^2-z^2)
Ответы
Автор ответа:
0
Частные производные - это производные по конкретной переменной в функции, тогда дифференцирование идет только по этой переменной, а остальные считаются как простые числа.
Ручное решение на листочке, плюс проверка на компьютере. Все верно)
Приложения:
Похожие вопросы
Предмет: Қазақ тiлi,
автор: serikoryngul86
Предмет: Музыка,
автор: Lopomki1001
Предмет: Математика,
автор: alman919
Предмет: Математика,
автор: Baldynya
Предмет: Алгебра,
автор: dima000777