Предмет: Химия,
автор: Аноним
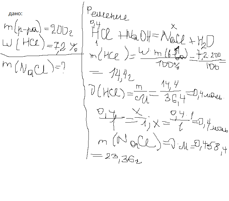
Вычислить массу NaCl, который получился при реакции 200 г раствора HCl с массовой долей HCl 7,2 % с гидроксидом натрия (при реакции образовалась соль и вода)
Ответы
Автор ответа:
1
как- то так, в правильностия срмневаюсь
Приложения:
Похожие вопросы
Предмет: Русский язык,
автор: cahid119
Предмет: Русский язык,
автор: nastya84398
Предмет: Русский язык,
автор: Margaryaanmag
Предмет: История,
автор: aidanaaa51
Предмет: Обществознание,
автор: Agjgugjfgjju4