Предмет: Алгебра,
автор: MarMaLade
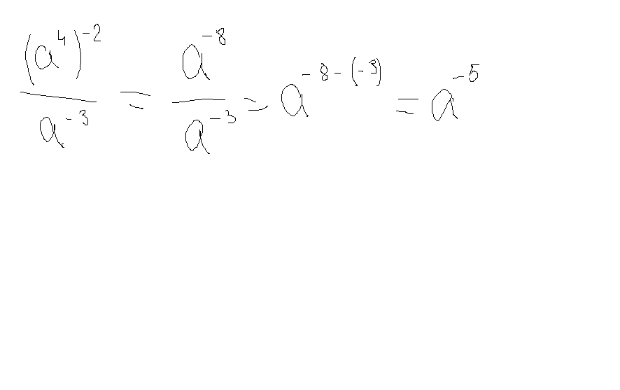
Алгебра, 8 класс. Представьте в виде степени с основанием a выражение (на фото)
Приложения:
Ответы
Автор ответа:
2
Надо повторить формулы
Приложения:
MarMaLade:
спасибо огромное ;)
Похожие вопросы
Предмет: Английский язык,
автор: Anelt03
Предмет: Английский язык,
автор: KeshaEnot
Предмет: Русский язык,
автор: Алина20736
Предмет: Экономика,
автор: nikanist