Предмет: Математика,
автор: Hикуша
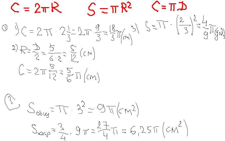
Сделайте плиз , что знаете ! С решениями и по действиям
Приложения:
Ответы
Автор ответа:
1
Надеюсь это поможет!
Приложения:
Похожие вопросы
Предмет: Русский язык,
автор: Аноним
Предмет: Русский язык,
автор: ДанилЛеконцев
Предмет: Английский язык,
автор: givangalko
Предмет: Математика,
автор: nastyusha2020
Предмет: Математика,
автор: agroshkolnik12