Предмет: Алгебра,
автор: LalkaSkalka0
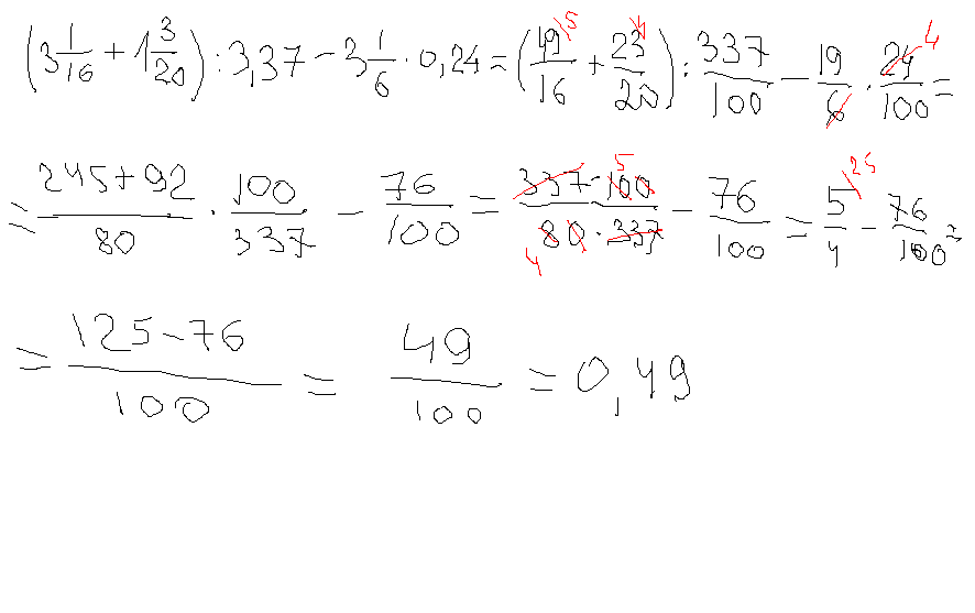
Решите пожалуйста пример на фото
Приложения:
Ответы
Автор ответа:
1
Возможно и по-другому, но можно и так!
Приложения:
Похожие вопросы
Предмет: Русский язык,
автор: ilkin22
Предмет: Английский язык,
автор: ladyglafira
Предмет: Английский язык,
автор: Adelinayakupova2005
Предмет: Математика,
автор: Данчик97
Предмет: Английский язык,
автор: 482829