Предмет: Алгебра,
автор: demirosemawby
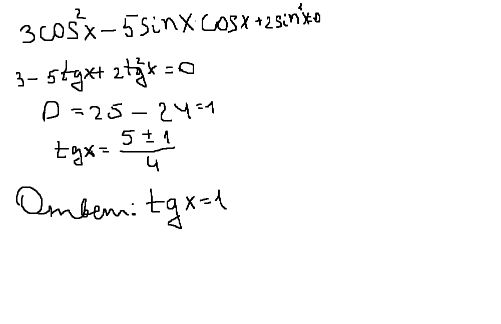
Пусть x0-наименьший положительный корень уравнения
x-5sinx*cosx+2=0
Найти tg0, помогите пожалуйста с решением
Ответы
Автор ответа:
1
______________________________
Приложения:
Похожие вопросы
Предмет: Українська мова,
автор: lytvynchuk
Предмет: Русский язык,
автор: islam31k
Предмет: Другие предметы,
автор: Ksksks47382
Предмет: Алгебра,
автор: dankyaRus25
Предмет: Обществознание,
автор: nastap552