Предмет: Алгебра,
автор: 5sergey99
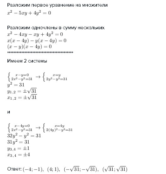
Решите систему уравнений:
x^2-5xy+4y^2=0
2x^2-y^2=31
Ответы
Автор ответа:
8
Решение смотрите во вложении
Приложения:
Похожие вопросы
Предмет: Английский язык,
автор: Abdul1111111
Предмет: Русский язык,
автор: Аноним
Предмет: Английский язык,
автор: Сашаππ
Предмет: Математика,
автор: nignigerov321
Предмет: Музыка,
автор: ulyana8193