Предмет: Алгебра,
автор: Gleng111
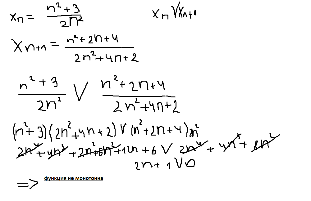
Исследуйте последовательность Xn=(n^2+3)/2n^2 на ограниченность и монотонность
Ответы
Автор ответа:
10
Прошу прощения за плохой почерк. Если будут вопросы, с радостью отвечу.
Приложения:
Gleng111:
Извинте, а что обозначает галочка между дробями?
типо "сравнить"
Похожие вопросы
Предмет: Английский язык,
автор: pomazunovaa11
Предмет: Українська мова,
автор: lizakestel
Предмет: Английский язык,
автор: 4ervяк
Предмет: Английский язык,
автор: Saimon1337228
Предмет: Математика,
автор: yulya778