Предмет: Математика,
автор: 4ikulja
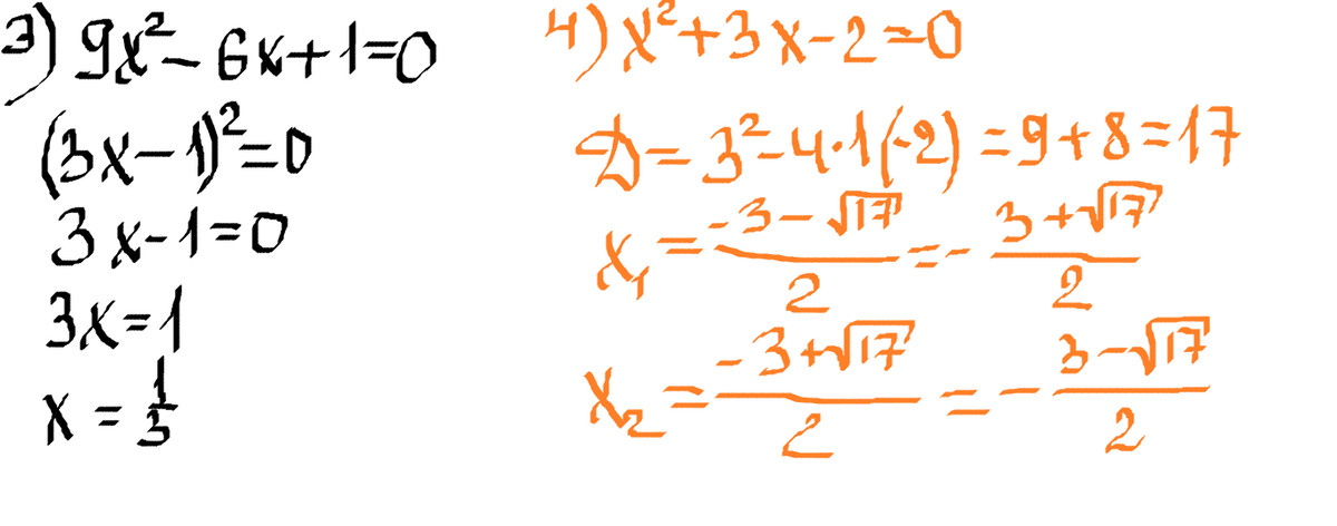
Помогите пожалуйста решить.1) 4x во 2 степени = 2x 2) 3x во 2 степени + 5x-2=0 3) 9x во 2 степени - 6x+1=0 4) x во 2 степени + 3x-2=0 5) 3x во 2 степени - 2x+4=0
Ответы
Автор ответа:
1
1)
4x² = 2x
4x² - 2x = 0
2x(2x - 1) = 0
x = 0 2x - 1 = 0
2x = 1
x =
Ответ:
= 0,
= 
Остальные в файликах.
Darknight (Sunny Storm)
4x² = 2x
4x² - 2x = 0
2x(2x - 1) = 0
x = 0 2x - 1 = 0
2x = 1
x =
Ответ:
Остальные в файликах.
Darknight (Sunny Storm)
Приложения:
4ikulja:
спасибо тебе большое)))
Пожалуйста =)
Похожие вопросы
Предмет: Английский язык,
автор: Siemprevaliente
Предмет: Немецкий язык,
автор: Nyaska123
Предмет: Другие предметы,
автор: Янияру
Предмет: Английский язык,
автор: V1t4
Предмет: Английский язык,
автор: rajkinegor