Предмет: Математика,
автор: NastySlasty
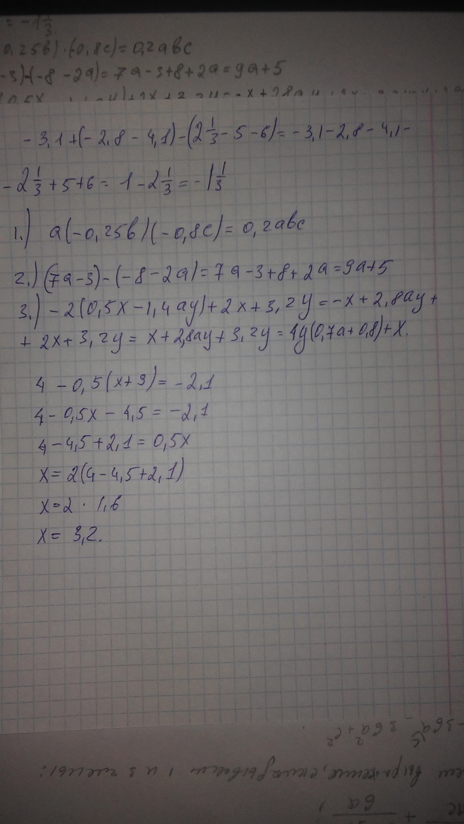
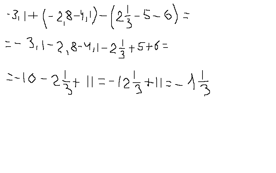
Раскройте скобки и найдите значение выражения: -3,1+(-2,8-4,1)-(2 целых 1/3 - 5-6)
Упростить:1) а×(-0,25b)×(-0,8c)
2)(7a-3)-(-8-2a)
3) -2(0,5Х-1,4aY)+2Х+3,2Y
Решите уравнение(надо раскрыть скобки)
4-0,5(Х+9)=-2,1
Ответы
Автор ответа:
1
Надеюсь это тебе поможет!
Приложения:
Автор ответа:
2
Только так правильно:
Приложения:
Похожие вопросы
Предмет: Английский язык,
автор: mmmdz
Предмет: Английский язык,
автор: kosteek
Предмет: Русский язык,
автор: ClayCluead
Предмет: Геометрия,
автор: tema8820
Предмет: Математика,
автор: JuTicKFruTiK