Предмет: Математика,
автор: вася457
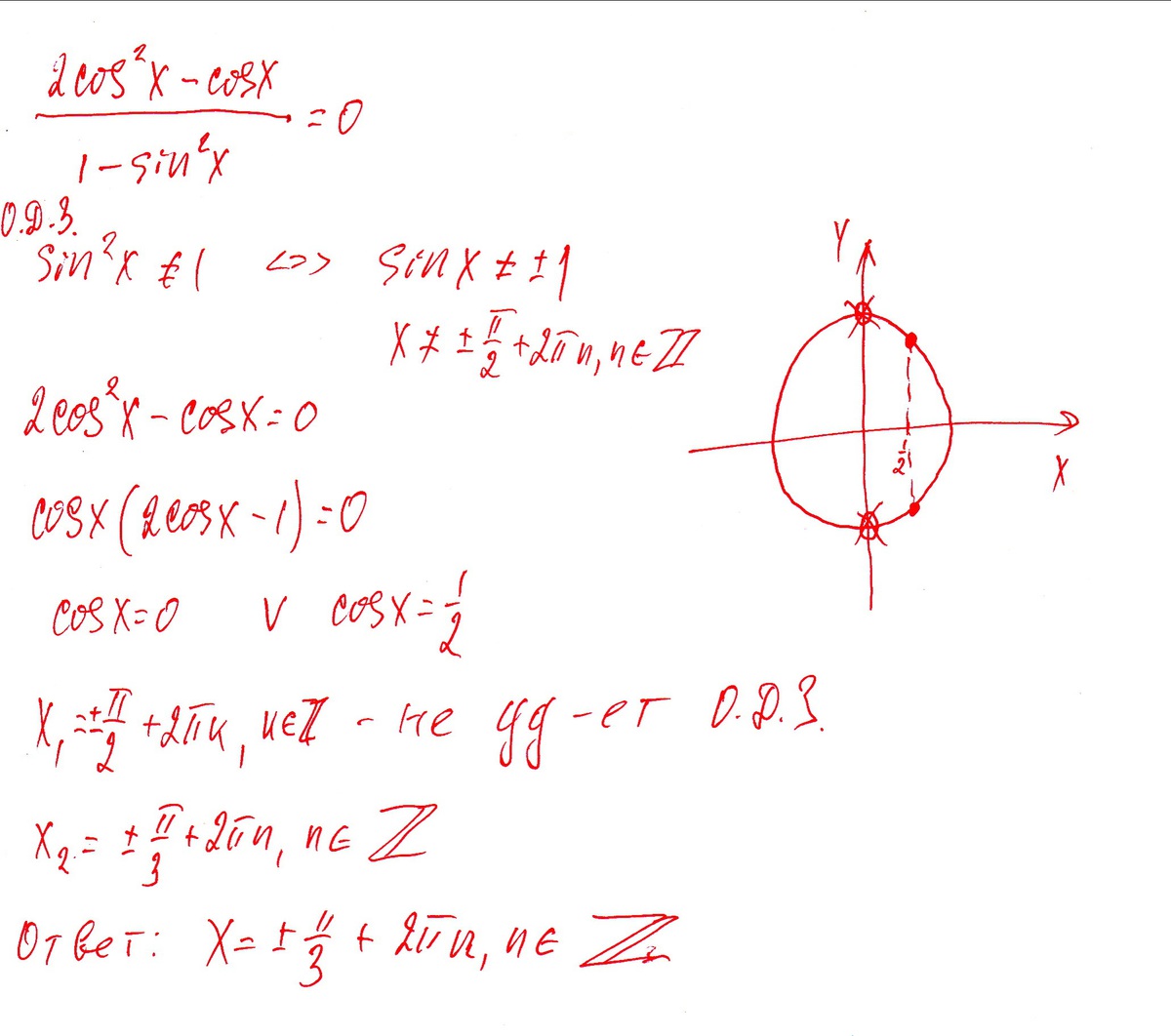
2cos^2x-cosx/1-sin^2x=0
Ответы
Автор ответа:
1
...................................... В ответе:
. Шляпка у
съехала)
Приложения:
Автор ответа:
1
sin^2 (x) не равняется 1
т.е х не равняется угол 90
тогда 2соs^2(x)=cosx
cosx=0
x=90 нет решение т.к х не равняется 90
т.е х не равняется угол 90
тогда 2соs^2(x)=cosx
cosx=0
x=90 нет решение т.к х не равняется 90
Похожие вопросы
Предмет: Английский язык,
автор: Сай5566
Предмет: Другие предметы,
автор: махмудова4
Предмет: Английский язык,
автор: Маруся3461
Предмет: Английский язык,
автор: rasimbro
Предмет: Литература,
автор: Veterenarsha