Предмет: Физика,
автор: Никеймус
Как найти ускорение?
х = 5 +2t + 4t^2
Ответы
Автор ответа:
3
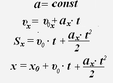
В вашем случае подходит последняя формула.
Ускорение =8
Ускорение =8
Приложения:
Никеймус:
Мне нужно, чтобы Вы объяснили мне, откуда 8. Распишите, если не трудно.
В вашем уравнении at^2/2 это 4t^2 из этого следует, что a=8
так запоминать, больше запутаешься
Вы думаете, проще искать через 2 производную? :)
Автор ответа:
8
ускорение - это вторая производная от координаты, первая производная же - скорость,
Похожие вопросы
Предмет: Английский язык,
автор: olesyas1983
Предмет: Русский язык,
автор: mister40
Предмет: Английский язык,
автор: aliska12oynqnm
Предмет: Геометрия,
автор: kati505
Предмет: Русский язык,
автор: sol41317