Предмет: Алгебра,
автор: perss121
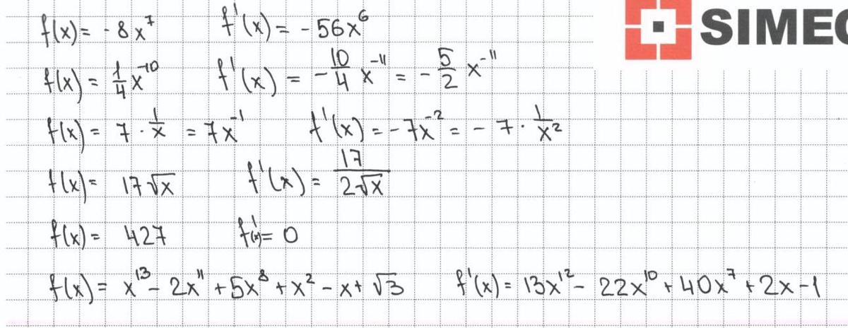
Найдите производные функции которые на фотографии
Приложения:
Ответы
Автор ответа:
1
Нашла все производные :)
Приложения:
Похожие вопросы
Предмет: Другие предметы,
автор: egor531
Предмет: Русский язык,
автор: kate48ch
Предмет: Русский язык,
автор: Stefani212
Предмет: Геометрия,
автор: idiot75