Предмет: Алгебра,
автор: Ольче
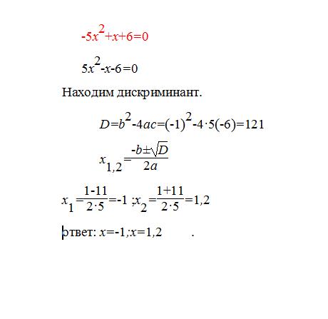
-5x²+х+6=0
решите квадратное уравнение....
Ответы
Автор ответа:
0
==========================================
Приложения:
Похожие вопросы
Предмет: Математика,
автор: zhaksibaevmurat
Предмет: Математика,
автор: bordarkaa
Предмет: Физика,
автор: shefer84
Предмет: Обществознание,
автор: ИроО