Предмет: Алгебра,
автор: женя88000
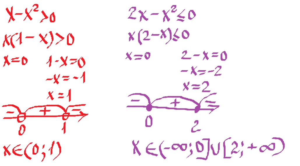
помогите плиз с неравенствами
Приложения:
Ответы
Автор ответа:
1
Решение в файликах.
Darknight (Sunny Storm)
Darknight (Sunny Storm)
Приложения:
Похожие вопросы
Предмет: Русский язык,
автор: nasyatkachenko8
Предмет: Русский язык,
автор: tuqay1987
Предмет: Қазақ тiлi,
автор: оксик521
Предмет: Экономика,
автор: tatyanavinogra