Предмет: Алгебра,
автор: coolchuhnova
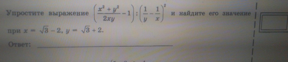
упростите выражение пжлс
Приложения:
Ответы
Автор ответа:
1
( х²+у² - 1 ) : ( 1 - 1 )² =(х²+у²-2ху) : (х-у)² =(х-у)² * (ху)² = ху =
( 2ху ) ( у х ) ( 2ху ) (ху ) 2ху (х-у)² 2
=(√3 - 2)(√3 + 2) =3-4 = - 1 =-0,5
2 2 2
( 2ху ) ( у х ) ( 2ху ) (ху ) 2ху (х-у)² 2
=(√3 - 2)(√3 + 2) =3-4 = - 1 =-0,5
2 2 2
Похожие вопросы
Предмет: Українська мова,
автор: kievleanka
Предмет: Русский язык,
автор: сюзи27
Предмет: Русский язык,
автор: lolkon2017
Предмет: Математика,
автор: DaNKoLaB
Предмет: Математика,
автор: safonovkirill75