Предмет: Химия,
автор: Вэлка
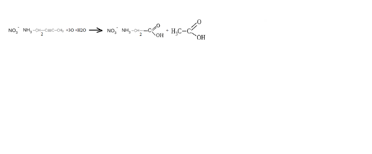
Помогитеее!! Как из С4H8O3N2 получить в 1 или 2 стадии C2H6N2O5
Ответы
Автор ответа:
1
это окисление азотнокислой соли непредельного амина (производного бутина-2) бихроматом калия в азотнокислой среде. При этом разрушается тройная связь и образуется азотнокислый глицин и уксусная кислота.
Приложения:
Похожие вопросы
Предмет: Русский язык,
автор: Fox123468631454
Предмет: Другие предметы,
автор: котик942
Предмет: Русский язык,
автор: kucharin
Предмет: Математика,
автор: arosl